Videos streaming images jeux et buzz
Connexion






Perdu le mot de passe ?

Inscrivez-vous maintenant !
Menu Principal
Communauté
Top Membres 2023
Membre Points
1 Kilroy16200
2 Wiliwilliam5400
3 CrazyCow3795
4 Le_Relou2829
5 LeMiniMilgram2719
6 Bricci2602
7 Yazguen2267
8 SnikePlassken2038
9 -Flo-1948
10 Baba-Yaga1598

Vidéo : Une petite démonstration mathématique à la télévision serbe

Posté par -Flo- le 6/4/2022 17:57:00

vidéo maths equation demonstration
Pendant une émission de télé serbe, une chroniqueuse résout une équation en direct sur un tableau blanc, avec beaucoup d’assurance. Une brillante démonstration.






Sur le même sujet :
  • Vidéo : Le compte est bon
  • Vidéo : Jean-Marc Durand, calculatrice humaine dans « Des Chiffres et Des Lettres »
  • Vidéo : L'application PhotoMath résout les équations
  • Source : Forum
  • Bas de page Bas  
    Les commentaires appartiennent à leurs auteurs. Nous ne sommes pas responsables de leur contenu.

    Top commentaires

    asm63
    Posté le: 6/4/2022 20:40  Mis à jour: 6/4/2022 20:41
    Je suis accro
    Inscrit le: 12/4/2018
    Envois: 1536
    Karma: 778
    Re: Une petite démonstration mathématique à la télévision...
     18 
    Sinon, le meilleur « le compte est bon » de tous les temps :


    Countdown - The Most Extraordinary Numbers Game Ever?
    mawt1
    Posté le: 6/4/2022 18:41  Mis à jour: 6/4/2022 18:41
    J'aime glander ici
    Inscrit le: 17/2/2008
    Envois: 7094
    Karma: 3371
    Re: Une petite démonstration mathématique à la télévision...
     12 
    Elle l'a trop appris par coeur dans la tête que tout est ressortie n'importe comment ^^

    37 commentaires

    Auteur Conversation
    LeMiniMilgram
    Posté le: 6/4/2022 17:58  Mis à jour: 6/4/2022 17:58
    #1
    J'aime glander ici
    Inscrit le: 26/10/2012
    Envois: 8997
    Karma: 22282
     Re: Une petite démonstration mathématique à la télévision...
     0 
    C'est pourtant très simple :

    REMI GAILLARD PIEGE DES CHIFFRES ET DES LETTRES
    PurLio
    Posté le: 6/4/2022 18:04  Mis à jour: 6/4/2022 18:04
    #2
    Je poste trop
    Inscrit le: 26/1/2006
    Envois: 12683
    Karma: 13549
     Re: Une petite démonstration mathématique à la télévision...
     0 
    CQFD.
    FouTaquin
    Posté le: 6/4/2022 18:13  Mis à jour: 6/4/2022 18:13
    #3
    Je m'installe
    Inscrit le: 6/10/2020
    Envois: 186
    Karma: 363
     Re: Une petite démonstration mathématique à la télévision...
     0 
    Euh?... A quel moment c'est drôle?
    LeMiniMilgram
    Posté le: 6/4/2022 18:15  Mis à jour: 6/4/2022 18:15
    #4
    J'aime glander ici
    Inscrit le: 26/10/2012
    Envois: 8997
    Karma: 22282
     Re: Une petite démonstration mathématique à la télévision...
     9 
    @FouTaquin
    Pourquoi est-ce que c'est drôle ? - Les Guignols - CANAL+
    Skwatek
    Posté le: 6/4/2022 18:27  Mis à jour: 6/4/2022 18:27
    #5
    Je poste trop
    Inscrit le: 26/11/2005
    Envois: 47915
    Karma: 25914
     Re: Une petite démonstration mathématique à la télévision...
     2 
    Pour moi, son résultat est envisageable.

    user150662
    Posté le: 6/4/2022 18:29  Mis à jour: 6/4/2022 18:29
    #6
    Je m'installe
    Inscrit le: 9/1/2017
    Envois: 134
    Karma: 315
     Re: Une petite démonstration mathématique à la télévision...
     0 
    Le résultat est juste..

    c'est ce qu'on appelle une équation dite : TTC
    avec une TVA de 20%, le compte est bon
    mawt1
    Posté le: 6/4/2022 18:41  Mis à jour: 6/4/2022 18:41
    #7
    J'aime glander ici
    Inscrit le: 17/2/2008
    Envois: 7094
    Karma: 3371
     Re: Une petite démonstration mathématique à la télévision...
     12 
    Elle l'a trop appris par coeur dans la tête que tout est ressortie n'importe comment ^^
    Bricci
    Posté le: 6/4/2022 18:47  Mis à jour: 6/4/2022 18:47
    #8
    Je masterise !
    Inscrit le: 30/9/2019
    Envois: 2343
    Karma: 8539
     Re: Une petite démonstration mathématique à la télévision...
     2 
    Allez, un dernier petit calcul et on s’en va ! 😂
    Speedball2
    Posté le: 6/4/2022 19:11  Mis à jour: 6/4/2022 19:11
    #9
    Je m'installe
    Inscrit le: 10/11/2013
    Envois: 494
    Karma: 341
     Re: Une petite démonstration mathématique à la télévision...
     1 
    Je pense qu'il s'agit d'un challenge tiktok. Passer pour un con devant le plus grand nombre de personnes.
    Aktunowihio
    Posté le: 6/4/2022 19:27  Mis à jour: 6/4/2022 19:27
    #10
    Je m'installe
    Inscrit le: 4/6/2014
    Envois: 346
    Karma: 520
     Re: Une petite démonstration mathématique à la télévision...
     1 
    "Malheureusement, son résultat n'est pas correct car X=3"

    Merci pour cette aide indispensable ! 😉
    wilburn
    Posté le: 6/4/2022 19:42  Mis à jour: 6/4/2022 19:42
    #11
    Je suis accro
    Inscrit le: 19/10/2012
    Envois: 727
    Karma: 858
     Re: Une petite démonstration mathématique à la télévision...
     0 
    Je ne parle pas le serbe, mais j'ai vite compris qu'elle faisait de la merde ^^
    user150583
    Posté le: 6/4/2022 19:51  Mis à jour: 6/4/2022 19:53
    #12
    Je suis accro
    Inscrit le: 2/1/2017
    Envois: 1491
    Karma: 1194
     Re: Une petite démonstration mathématique à la télévision...
     0 
    Oups, ça sent qu'elle a dû apprendre par coeur la réponse et qu'elle s'est mélangé les pinceaux en mettant le 3 n'importe où...

    @Aktunowihio
    Tu sais que le calcul littéral (et les équations par extension) c'est loin d'être une évidence pour tout le monde ? Je suis prof de maths au collège, et je prédis qu'au moins le tiers de mes classes arriveront à l'âge adulte en ne sachant plus du tout ce que ça veut dire "5+x=8" ...
    zoondoz
    Posté le: 6/4/2022 20:28  Mis à jour: 6/4/2022 20:37
    #13
    Je suis accro
    Inscrit le: 7/8/2007
    Envois: 1579
    Karma: 819
     Re: Une petite démonstration mathématique à la télévision...
     0 
    C'est encore plus navrant quand on sait qu'en Serbie, ce type d'équation s'apprend des la première année d'école élémentaire. J'étais sceptique quand ma gamine a sorti son cahier son cahier de math et j'ai supposé que ce niveau d'abstraction était trop élevé pour des enfants de 7 ans mais en fait, ça passe sans problème.
    Pour info, la vidéo date un peu puisque elle est de 2015.
    asm63
    Posté le: 6/4/2022 20:34  Mis à jour: 6/4/2022 20:40
    #14
    Je suis accro
    Inscrit le: 12/4/2018
    Envois: 1536
    Karma: 778
     Re: Une petite démonstration mathématique à la télévision...
     0 
    Citation :
    Malheureusement, son résultat n'est pas correct car X=3
    Oui enfin c'est surtout une erreur d'inattention.

    Elle écrit au tableau en même temps qu'elle parle, filmé devant une caméra en étant en contact avec une journaliste en duplex, et elle écrit 3 au lieu de 5.

    Le reste est correct, elle montre qu'elle barre le 5 au moment de soustraire du 8 et fait directement la soustraction.
    asm63
    Posté le: 6/4/2022 20:40  Mis à jour: 6/4/2022 20:41
    #15
    Je suis accro
    Inscrit le: 12/4/2018
    Envois: 1536
    Karma: 778
     Re: Une petite démonstration mathématique à la télévision...
     18 
    Sinon, le meilleur « le compte est bon » de tous les temps :


    Countdown - The Most Extraordinary Numbers Game Ever?
    Nwc-Vincent2
    Posté le: 6/4/2022 21:02  Mis à jour: 6/4/2022 21:02
    #16
    J'aime glander ici
    Inscrit le: 22/5/2011
    Envois: 5380
    Karma: 165
     Re: Une petite démonstration mathématique à la télévision...
     0 
    Description : "En Sebie"

    Zeubi ouai.
    unknown001
    Posté le: 6/4/2022 22:33  Mis à jour: 6/4/2022 22:38
    #17
    Je m'installe
    Inscrit le: 29/12/2019
    Envois: 242
    Karma: 138
     Re: Une petite démonstration mathématique à la télévision...
     0 
    Citation :

    @Aktunowihio
    Tu sais que le calcul littéral (et les équations par extension) c'est loin d'être une évidence pour tout le monde ? Je suis prof de maths au collège, et je prédis qu'au moins le tiers de mes classes arriveront à l'âge adulte en ne sachant plus du tout ce que ça veut dire "5+x=8" ...



    Ca me fait flipper ce que tu dis. Quand j'entends une madame Michu dire "Un tiers de blabla", je me doute qu'elle exagère. Venant d'un prof de math, je sais très bien que la proportion que tu avances est juste. Si vraiment un tiers des jeunes adultes ne savent pas trouver "x" quand on leur montre 5+x=8, je tombes des nues. Tu m'aurais 15%, ça représente tous ceux qui ont moins de 85 de QI j'aurais admis, mais 33,3% ! Ca ne demande pas une si grande capacité d'abstraction pourtant, si ?
    Aktunowihio
    Posté le: 6/4/2022 22:56  Mis à jour: 7/4/2022 19:16
    #18
    Je m'installe
    Inscrit le: 4/6/2014
    Envois: 346
    Karma: 520
     Re: Une petite démonstration mathématique à la télévision...
     0 
    @Kanpindon
    oui, cher collègue, je sais et c'est désolant que le spoiler puisse être utile...
    je suis également toujours dépité quand je déroule les commentaires des fameuses publis sur les réseaux où il faut trouver le résultat d'un calcul où la "difficulté" est en fait une simple priorité des opérations... toi même tu sais...
    Crazy-13
    Posté le: 7/4/2022 4:07  Mis à jour: 7/4/2022 4:07
    #19
    Je poste trop
    Inscrit le: 9/12/2005
    Envois: 84986
    Karma: 9298
     Re: Une petite démonstration mathématique à la télévision...
     0 
    @asm63 mais comment ( sans calculatrice si je ne m'abuse ) ce mec à été capable de faire ce compte est bon en si peu de temps?
    julnobody
    Posté le: 7/4/2022 5:57  Mis à jour: 7/4/2022 5:57
    #20
    Je m'installe
    Inscrit le: 24/5/2017
    Envois: 452
    Karma: 762
     Re: Une petite démonstration mathématique à la télévision...
     1 
    @unknown001 Imagine l'état d'incrédulité d'entre-deux et la spirale de scepticisme dans laquelle tu te serais trouvée s'il avait dit 24%.
    dylsexique
    Posté le: 7/4/2022 9:33  Mis à jour: 7/4/2022 9:33
    #21
    Je masterise !
    Inscrit le: 18/3/2014
    Envois: 2271
    Karma: 8013
     Re: Une petite démonstration mathématique à la télévision...
     0 
    Citation :

    @unknown001
    Tu m'aurais 15%, ça représente tous ceux qui ont moins de 85 de QI j'aurais admis, mais 33,3% !


    Incroyable !
    Personnellement j'aurais pu admettre jusqu'à 21,55% avant de craquer.
    asm63
    Posté le: 7/4/2022 11:11  Mis à jour: 8/4/2022 4:20
    #22
    Je suis accro
    Inscrit le: 12/4/2018
    Envois: 1536
    Karma: 778
     Re: Une petite démonstration mathématique à la télévision...
     2 
    Citation :

    @Crazy-13
    @asm63 mais comment ( sans calculatrice si je ne m'abuse ) ce mec à été capable de faire ce compte est bon en si peu de temps?

    Il avait 3x(100+6) = 318. Il voit que 318x3 = 954 et il cherche 952. Il lui faut donc un 3 et un 2. Or, il n'y en a pas. Il reste 25, 50 et 75. Ça tombe bien, 75/25 = 3 et 50/25 = 2. Problème il n'y a qu'un seul 25. On va donc factoriser.

    Du coup il remplace 318x3-2 par (318 x (3x25) - (2*25) )/25, soit (318 x 75 - 50) / 25. Et il n'a jamais eu besoin de faire le calcul intermédiaire (d'où le fait qu'il hésite quand la présentatrice lui demande le résultat des calculs).



    Bon après, c'est comme la magie, quand on a l'explication, ça fait moins rêver. Mais ça reste impressionnant quand même. 🙂
    MYRRZINN
    Posté le: 7/4/2022 11:19  Mis à jour: 7/4/2022 11:19
    #23
    Je masterise !
    Inscrit le: 9/1/2019
    Envois: 2505
    Karma: 5001
     Re: Une petite démonstration mathématique à la télévision...
     1 
    @Bricci Moi aussi j'aime changer les maths...
    Bricci
    Posté le: 7/4/2022 11:51  Mis à jour: 7/4/2022 11:51
    #24
    Je masterise !
    Inscrit le: 30/9/2019
    Envois: 2343
    Karma: 8539
     Re: Une petite démonstration mathématique à la télévision...
     0 
    @MYRRZINN Aaaahhhh je me sentais tellement seul ! Salut Patrick ! 😉
    Programaths
    Posté le: 7/4/2022 12:32  Mis à jour: 7/4/2022 12:32
    #25
    Je suis accro
    Inscrit le: 7/6/2004
    Envois: 754
    Karma: 394
     Re: Une petite démonstration mathématique à la télévision...
     1 
    @Kanpindon En Belgique, plus de proba en secondaire! Car dans le cours de proba, il y a du dénombrement et c'est trop compliqué!

    Et oui, calculer un déterminant ou passer par la dérivée pour trouver un min/max est bien plus facile. Pourquoi ? Car il suffit d'appliquer.

    Le gros soucis du dénombrement, c'est que chaque exercice demande une analyse et que sur les 12 ans, il y a eu zéro analyse.

    Par exemple: dans une grille de 11x19, combien de rectangles sont formés ?
    (Dans une grille 2x2, on en compte 9)

    Similaire: dans une grille 8x8, on marque le carré à 3 cases du bord haut et du bord gauche (C3). Combien de rectangles ne contiennent pas cette case ?

    Le premier, environ 10% peuvent le résoudre. Le second, on tombe à moins de 2%.

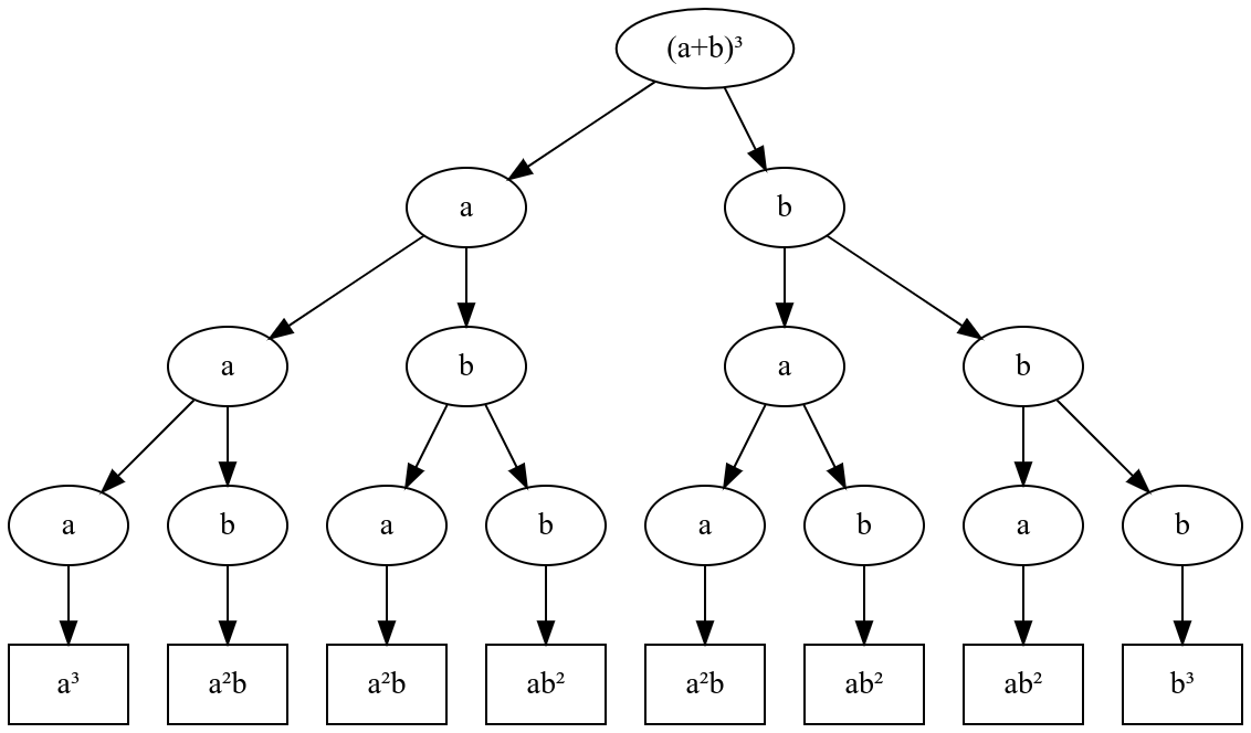
    C'est un peu comme le binôme de newton quand on doit développer $(a+b)^n$.
    Le lien avec le triangle de Pascal est vite fait, sachant que toutes les combinaisons de $a^xb^y$ vont se retrouver dans le développement et même plusieurs fois vu que la multiplication est commutative.

    Mais à la place, les élèves bloquent par cœur. Puis quand ils tombent sur $(a+b)^5$, c'est la foire!

    Avec un dessin, on voit même mieux pourquoi on peut calculer les coefficient en utilisant le nombre de combinaisons. (0 parmi 3, 1 parmi 3, 2 parmi 3, 3 parmi 3)



    A un moment, le programme doit s'adapter aussi. Il est vrai que peu d'adultes font du dénombrement 🙂
    gazeleau
    Posté le: 7/4/2022 15:56  Mis à jour: 7/4/2022 15:56
    #26
    J'aime glander ici
    Inscrit le: 16/4/2018
    Envois: 8007
    Karma: 6810
     Re: Une petite démonstration mathématique à la télévision...
     0 
    Citation :

    @Programaths
    A un moment, le programme doit s'adapter aussi. Il est vrai que peu d'adultes font du dénombrement 🙂


    Pourtant, à l'armée, on nous demandait souvent: "comptez-vous !"
    PseudoPris
    Posté le: 7/4/2022 17:55  Mis à jour: 7/4/2022 17:55
    #27
    Je suis accro
    Inscrit le: 5/5/2014
    Envois: 941
    Karma: 1281
     Re: Une petite démonstration mathématique à la télévision...
     0 
    @Programaths Putain ! Mais pourquoi au collège on ne m'a pas appris ça ? Alors qu j'ai appris bêtement les formules comme tu dis.
    Je tiens aussi à dire que (après c'était y'a plus de 35 ans : collège entre 1980 et 1985), j'avais appris les maths à la vieille méthodes : un livre avec QUE du texte en noir et les choses importantes en rouge. C'était rébarbatif.

    Et donc on nous avait appris le règle de 3, bêtement, et j'ai posé, bêtement, pendant des années cette règle de 3.
    Parfois, au collège et au lycée, j'avais des résultats faux et je ne comprenais pas... Alors que j'ai un esprit scientifique, j'ai eu 4 en maths au bac et 4 en physique... ... ... Et c'est un jour en TP de chimie en 2e année de fac que j'ai compris la règle de 3.
    Deux questions :
    - Comment peut-on faire apprendre des choses de manière bête à des enfants et donc qu'ils appliquent sans comprendre ?
    - Comment cela se fait qu'a aucun moment un prof n'ai pas compris que je n'avais pas compris ?
    ...
    Ce qui ne m'a pas empêché d'aller jusqu'au doctorat (plus 3 ans de post-doc) en bio. 🙂

    Et c'est en ayant compris que l'enseignement scolaire était mal conçu, que quand je suis avec des jeunes enfants, je trouve toujours des moyens d'expliquer simplement avec des mots simples des faits scientifiques : mon neveu a pu expliquer à sa classe de CE1 le principe de la mise en orbite des satellites et de l'impesanteur (avec la balle qu'on jette devant soi de plus en plus loin, qui tombe de plus en plus loin et de plus en plus "bas", jusqu'à ne plus tomber sur la terre).
    user150583
    Posté le: 7/4/2022 19:34  Mis à jour: 7/4/2022 19:55
    #28
    Je suis accro
    Inscrit le: 2/1/2017
    Envois: 1491
    Karma: 1194
     Re: Une petite démonstration mathématique à la télévision...
     1 
    @Programaths
    Le dénombrement est une activité complexe, mais il faut bien reconnaître qu'on a aucun cours dédié dessus dès le CM1 dans les programmes... L'énumération et le dénombrement sont les grands oubliés du savoir institutionnel du secondaire.

    Résultat : les collégiens se plantent à la moindre proba à calculer, et même au lycée (voire à l'université) le dénombrement ça pose des problèmes insurmontables.



    J'en ai une autre pour toi : combien de fonctions surjectives de n+1 éléments dans n éléments ? Cette question a été posée (dans une étude dans les années 90) à des enseignants du supérieur et des étudiants du supérieurs.

    C'est pourtant un cas particulier d'une question classique de niveau licence (la classique étant bien sûr quand il y a un nombre d'éléments quelconque), mais contrairement au cas général on peut presque "deviner" la tronche de la formule et la prouver par récurrence (c'était évidemment fait exprès)

    Résultats : 11% de réussite pour les étudiants, 16 % (seulement !) pour les enseignants.
    A la question : êtes-vous sûr de votre réponse ? C'est simple : sur les 100 et quelques participants, seule une dizaine le pensent (ironie : ils avaient tous faux...)

    Et le plus choquant (pour moi) : 60% (!!!) des participants n'ont même pas songé à vérifier leur formule pour des petits n faciles à compter à la main, alors que c'est pourtant une vérification absolument basique et qui doit être systématique quand on résout un problème de dénombrement. C'est bien la preuve qu'il y a un gros manque de réflexe et d'apprentissage.

    Il y a un vrai problème avec le dénombrement en général dans l'éducation. Et je suis pas sûr que ce soit une question d'âge (à cause de l'étude que je viens d'évoquer). Je pense plutôt qu'on enseigne tout simplement jamais comment dénombrer de manière générale, c'est-à-dire l'arsenal des techniques et stratégies indispensables... Pourtant cela existe.

    Moi j'ai personnellement appris par mimétisme en prépa puis fac.

    Résultat : les étudiants débarquent dans le supérieur et doivent apprendre sur le tard. Il y a les survivants (pas beaucoup) et les autres pour qui le dénombrement restera à jamais une énigme, un monde cruel où la réponse n'est jamais certaines et où on ne sait jamais quelle dose de "rigueur" dans la démonstration on doit mettre...

    Ps : joli schéma, élégant. C'est effectivement évident quand on l'a sous le nez, une belle analogie avec les schémas de Bernoulli, mais quand on l'a jamais vu... Faut y penser ! Comme @PseudoPris je n'ai toujours fait que développer la formule du binôme avec un triangle de Pascal pas loin 😛
    Bargeau
    Posté le: 7/4/2022 21:52  Mis à jour: 7/4/2022 21:52
    #29
    Je m'installe
    Inscrit le: 6/3/2005
    Envois: 461
    Karma: 181
     Re: Une petite démonstration mathématique à la télévision...
     0 
    @asm63
    Quoiqu'il en soit il y en a un qui n à pas du s ennuyer le soir venu.
    Elle était déjà à moitié dans son lit.
    Programaths
    Posté le: 8/4/2022 8:33  Mis à jour: 8/4/2022 8:33
    #30
    Je suis accro
    Inscrit le: 7/6/2004
    Envois: 754
    Karma: 394
     Re: Une petite démonstration mathématique à la télévision...
     0 
    @Kanpindon
    Citation :
    combien de fonctions surjectives de n+1 éléments dans n éléments


    Puisque le domaine possède $n+1$ éléments et le co-domaine n éléments, nous pouvons priver le domaine de l'un de ses éléments de $n+1$ façons et ainsi obtenir une bijection.
    Le cardinal de l'ensemble des fonction bijectives ainsi défini est n!. (nombre de permutations des éléments du co-domaine/image)
    Le cardinal de l'ensemble de ces ensembles est donc $n!(n+1)$ soit $(n+1)!$.

    Pour chacun de ces ensembles, nous pouvons réintroduire l'élément manquant et donc ajouter $n$ relations.
    En ajoutant ces relations, on compte le double de fonctions car les antécédents pour une même image sont indiscernables.

    Nous obtenons donc $((n+1)!*n)/2$.

    Grosse possibilité de plantage ^^
    Programaths
    Posté le: 8/4/2022 9:13  Mis à jour: 8/4/2022 9:13
    #31
    Je suis accro
    Inscrit le: 7/6/2004
    Envois: 754
    Karma: 394
     Re: Une petite démonstration mathématique à la télévision...
     0 
    Citation :

    @PseudoPris
    @Programaths Putain ! Mais pourquoi au collège on ne m'a pas appris ça ? Alors qu j'ai appris bêtement les formules comme tu dis.
    Je tiens aussi à dire que (après c'était y'a plus de 35 ans : collège entre 1980 et 1985), j'avais appris les maths à la vieille méthodes : un livre avec QUE du texte en noir et les choses importantes en rouge. C'était rébarbatif.

    Et donc on nous avait appris le règle de 3, bêtement, et j'ai posé, bêtement, pendant des années cette règle de 3.
    Parfois, au collège et au lycée, j'avais des résultats faux et je ne comprenais pas... Alors que j'ai un esprit scientifique, j'ai eu 4 en maths au bac et 4 en physique... ... ... Et c'est un jour en TP de chimie en 2e année de fac que j'ai compris la règle de 3.
    Deux questions :
    - Comment peut-on faire apprendre des choses de manière bête à des enfants et donc qu'ils appliquent sans comprendre ?
    - Comment cela se fait qu'a aucun moment un prof n'ai pas compris que je n'avais pas compris ?
    ...
    Ce qui ne m'a pas empêché d'aller jusqu'au doctorat (plus 3 ans de post-doc) en bio. 🙂

    Et c'est en ayant compris que l'enseignement scolaire était mal conçu, que quand je suis avec des jeunes enfants, je trouve toujours des moyens d'expliquer simplement avec des mots simples des faits scientifiques : mon neveu a pu expliquer à sa classe de CE1 le principe de la mise en orbite des satellites et de l'impesanteur (avec la balle qu'on jette devant soi de plus en plus loin, qui tombe de plus en plus loin et de plus en plus "bas", jusqu'à ne plus tomber sur la terre).


    Car pas mal de profs ne veulent pas perdre de leur précieux temps avec ça. J'ai effectué des observation, et en classe, ça trace! Pas le temps de souffler, ça doit avancer! Même quitte a laisser des élèves derrière, dans l'espoir qu'ils se rattraperont (les mêmes notions reviennent plusieurs fois et c'est aussi pour cette raison, pour certains élèves, le déclic met plus de temps).
    Il y a de la différentiation, mais ça reste léger. Le prof observe constamment et fait travailler ces élèves un peu plus (questions orales ou passage au tableau), ce qui bénéficie à l'élève, mais aussi à la classe qui entend les réponses de la bouche d'un pair et peut apprendre de ses erreurs.

    Faire ce genre de schémas, c'est quasi une parenthèse. Bien qu'en vérité, on y gagne sur le long terme puisque les élèves ont plus facile à raccrocher les wagons...mais encore faut-il que le prof y pense et ne voit pas ça comme une perte de temps, alors qu'il est en retard sur le programme. Et c'est sans compter la direction qui demande que le livre soit suivi...
    Il y a une pléthore de raisons qui font que les profs finissent par ânonner. Et encore, c'est sans rentrer dans l'aspect social. J'ai vu des élèves de 4ème (notre 3ème en Belgique) qui ne savaient pas identifier un multiple de 3 et même...de 2. Et ces enfants doivent maîtriser les fractions car elles reviennent dans le calcul littéral, les équations (même du premier degré).
    Même avant la covid, ce n'était pas terrible.
    Et là, on veut retirer les cotes, car ça démotive et ça génère de la compétition.

    J'ai fais un exercice de physique (j'ai repris des cours), et le prof a noté ma copie avec le nouveau système:
    Citation :
    Évaluation avec la grille critériée (voir le contrat didactique) :C'est l'A AS1qui est visé par les deux exercices. Rien à dire pour la pertinence et la précision (niveau avancé). Le raisonnement peut être un peu plus détaillé (niveau intermédiaire), voir les commentaires ci-dessous.


    C'est pas hyper motivant non-plus, pourtant ça représente un sans faute où j'ai oublié du détail.

    Il y aura toujours un moment où l'on devra indiquer, d'une façon ou d'une autre, l'(in)aptitude d'un élève...

    Même sans les cotes, les élèves voient bien qui trime en histoire, géo, maths, bio...
    Il y a le socio-constructivisme qui peut légèrement effacer ça, mais même au sein d'un groupe, on sait qui fait quoi.

    Pour répondre à tes questions:
    - Comment peut-on faire apprendre des choses de manière bête à des enfants et donc qu'ils appliquent sans comprendre ?
    C'était l'enseignement classique, ça tend a changer. Toutefois, faire comprendre peut prendre un temps précieux, donc certains élèves sont "sacrifiés" pour le bien du plus grand nombre.
    - Comment cela se fait qu'a aucun moment un prof n'ai pas compris que je n'avais pas compris ?
    Car il faut passer par un questionnement coûteux en temps, il faut mettre au défi les réponses de l'élève. Ça se fait en différentiation, mais on ne peut pas toujours faire de la différentiations!
    Un élève qui sait bien appliquer peut avoir des notes passables, ce qui fait qu'il ne devient pas un point d'attention pour le prof.

    J'ai fais le printemps des sciences et animé des adultes. Dès qu'un "c'est évident" sortait, je demandait d'expliquer et, pouf, l'évidence sortait par le fenêtre ^^
    Pareil avec les élèves, ils ont appliqué le calcul du discriminent, alors le second degré...c'est basique. Puis tu viens avec des nombres complexes et, pouf, ça devient impossible.

    Même la règle de 3 que tu mentionne, peu d'adultes la comprennent! Il y a le classique: "Si 3 peintres mettent 3 jour pour peindre 3 portes, alors 6 peintres mettent combien de jour pour peindre 6 portes ?".
    Ou plus encré dans la réalité:

    Un article baisse de 10%. Quelques jours plus tard, le même article augmente de 10%. Que peut-on dire ?
    - Le prix est inférieur au prix original
    - Le prix identique au prix original
    - Le prix supérieur au prix original

    L’incompréhension vient aussi du fait que c'est zappé rapidement. Quelques cas particuliers sont donnés, puis du drill est mis en place.

    Mais il y a encore plus basique. Si on prend "1+2+3", ce calcul peut être vu de différentes façons.
    On part de 1, auquel on ajoute successivement 2 et 3. (Jean mange un bonbon, une heure plus tard, il en avale deux de plus et en fin de journée il en gobe 3 d'un coup)
    Ou
    On a les quantités 1, 2 et 3 que l'on met ensemble. (Dans le sachet de Jean, il y a 1 bonbon rouge, 2 bleu et 3 verts)
    Et suivant le façon dont le calcul est présenté, il y a plus ou moins d'échecs!!

    C'est le genre de truc où on peut palabrer ^^
    Nucleon
    Posté le: 9/4/2022 15:28  Mis à jour: 9/4/2022 15:28
    #32
    Je m'installe
    Inscrit le: 11/1/2013
    Envois: 271
    Karma: 231
     Re: Une petite démonstration mathématique à la télévision...
     0 
    Tout ce blabla juste pour une faute d'inattention xD
    MYRRZINN
    Posté le: 12/4/2022 9:21  Mis à jour: 12/4/2022 9:21
    #33
    Je masterise !
    Inscrit le: 9/1/2019
    Envois: 2505
    Karma: 5001
     Re: Une petite démonstration mathématique à la télévision...
     0 
    @Bricci Moi c'est pas Patrick. C'est Fred (si,si c'est vrai) et c'est pas mieux !!!
    Uatuu
    Posté le: 12/4/2022 15:26  Mis à jour: 12/4/2022 15:26
    #34
    Je suis accro
    Inscrit le: 15/7/2020
    Envois: 1049
    Karma: 523
     Re: Une petite démonstration mathématique à la télévision...
     0 
    Citation :

    @asm63
    Sinon, le meilleur « le compte est bon » de tous les temps :


    Countdown - The Most Extraordinary Numbers Game Ever?


    Oui et ça c'est drôle parce que tout le monde pense qu'il se vautre lamentablement... alors que c'est nous qui sommes juste pas au niveau.
    Bricci
    Posté le: 12/4/2022 16:27  Mis à jour: 12/4/2022 16:27
    #35
    Je masterise !
    Inscrit le: 30/9/2019
    Envois: 2343
    Karma: 8539
     Re: Une petite démonstration mathématique à la télévision...
     0 
    @MYRRZINN Enchanté, mais du coup, la contrepèterie ne fonctionne plus... 😉
    MYRRZINN
    Posté le: 12/4/2022 17:56  Mis à jour: 12/4/2022 17:56
    #36
    Je masterise !
    Inscrit le: 9/1/2019
    Envois: 2505
    Karma: 5001
     Re: Une petite démonstration mathématique à la télévision...
     0 
    Citation :

    @Bricci
    @MYRRZINN Enchanté, mais du coup, la contrepèterie ne fonctionne plus... ;-)

    Ben si !!! salut Fred !!! (phallus raide).
    Bricci
    Posté le: 12/4/2022 20:09  Mis à jour: 12/4/2022 20:10
    #37
    Je masterise !
    Inscrit le: 30/9/2019
    Envois: 2343
    Karma: 8539
     Re: Une petite démonstration mathématique à la télévision...
     0 
    @MYRRZINN Un poil capillotracté, mais je prends !
    Haut de page Haut  
    Les commentaires appartiennent à leurs auteurs. Nous ne sommes pas responsables de leur contenu.

    Si vous êtes l'auteur d'un élément de ce site, vous pouvez si vous le souhaitez, le modifier ou le supprimer
    Merci de me contacter par mail. Déclaré à la CNIL N°1031721.