| Asmodee88 | 2 #2361 |
|
|---|---|---|
|
Je suis accro
![]()
Inscrit: 17/11/2016 14:10
Post(s): 1379
Karma: 1110 |
Perso Raoult j'avais pas une grande opinion de lui mais alors après avoir sortie cette énormité il avait plus aucune crédibilité pour moi
Citation : «[…] Je suis désolé que vous n’aimiez pas mon essai, moi je l’aime beaucoup et je trouve qu’il a toutes les bases […] de la manière de faire un essai, de faire des essais comparatifs, et d’avoir une différence significative. Et contrairement à ce que vous dites – et alors là, je m’excuse, mais c’est une erreur radicale – moins il y a de gens quand c’est significatif et plus c’est significatif. Quand vous êtes obligés d’avoir 10 000 personnes dans un essai pour montrer une significativité, c’est qu’il n’y a aucune différence. […] Tout essai qui comporte plus de 1 000 personnes est un essai qui cherche à démontrer quelque chose qui n’existe pas.»
Contribution le : 29/12/2020 22:17
|
|
Signaler |
||
| Invité | 0 #2362 |
|
|---|---|---|
|
FantômeInvité
|
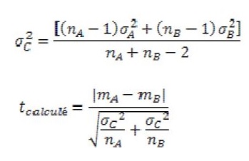
@Asmodee88
C'est pas terrible en effet... Mais en même temps je comprends ce qu'il a voulu dire... Par exemple on considère qu'un échantillon de 30, voire moins, est parfois suffisant dans certains domaines. Comparaison de 2 petits échantillons (<30) en biologie médicale : ![]() Pour ma part j'apprécie bien le personnage et les compétences du Pr. Raoult !
Contribution le : 30/12/2020 20:02
|
|
Signaler |
||
| Asmodee88 | 3 #2363 |
|
|---|---|---|
|
Je suis accro
![]()
Inscrit: 17/11/2016 14:10
Post(s): 1379
Karma: 1110 |
@AymericCaron le problème c'est qu'il est parti du principe que son truc marche avec un gros effet. Et avec un petit échantillon bin le moindre bruit statistiques te dégomme tout. Et j'ai du mal à croire qu'en biologie médicale deux échantillons <30 puisse être représentatif mise à par sur de l'anatomie (et encore).
Un test tout con pour montrer que des échantillons petit c'est de la merde c'est faire des lancer de pièces t'en fais dix (facile à compter et petit échantillon) Y'a peu de chance que tu te retrouves a 50/50 le moindre écart te fais 10% si tu pars du postulat que la pièce est truqué bam 10% ta raisons c'est super truqué.
Contribution le : 30/12/2020 20:49
|
|
Signaler |
||
| Invité | 0 #2364 |
|
|---|---|---|
|
FantômeInvité
|
@Asmodee88 Faut faire un test de Fisher en plus mais j'avoue que ça fait trop longtemps que j'ai eu mes cours pour me rappeler de quoique c'est !
Contribution le : 31/12/2020 00:09
|
|
Signaler |
||
| Popours | 2 #2365 |
|
|---|---|---|
|
Je viens d'arriver
![]()
Inscrit: 12/05/2018 13:12
Post(s): 22
|
Vidéo très intéressante sur les vaccins (au moins pour un néophyte comme moi) vue sur la chaîne e-penser.
Je pensais la mettre dans le topic unique mais elle a probablement plutôt sa place ici. Le vaccin CoViD - feat Marie-Paule Kieny
Contribution le : 31/12/2020 00:38
|
|
Signaler |
||
| Invité | 0 #2366 |
|
|---|---|---|
|
FantômeInvité
|
Euh, je suis le seul à avoir fait un peu de bio ?
C'était d'un niveau tellement bas que j'ai arrêté au bout de quelques minutes, j'ai survolé le reste en espérant entendre un truc intéressant. @Popours Si le sujet t'intéresse prend le temps de bûcher le sujet ne serait-ce qu'une heure ou deux et tu verras qu'elle a à peine effleuré ce dont elle parle ! Quelques idées de recherches sur wikipédia ou autre : - Mécanisme du génome chez les eucaryotes (ADN, ARN, ribosome, acide aminé, ...) - Classification des virus - Ribovirus - Coronavirus - Mécanisme de réplication des virus à ARN (et en bonus spécificité des rétrovirus) - Immunité innée - Immunité adaptative - Vaccination (intérêt pour l'individu, pourquoi on parle d'effet de groupe, pourquoi 30% ou 60% ou 90% selon les virus) Et enfin quand tu auras ces bases, tu pourras attaquer la fabrication des nouveaux vaccins à ARN messager... Euh en faite mise plutôt sur une semaine ou deux ! Bref j'aurais largement préféré qu'elle parle de ce que contient le vaccin à ARNm et pourquoi, de façon précise. Pourquoi il y a tel ou tel extrémités 5' et 3', pourquoi ils ont eu recours à une polyadénylation, pourquoi l'ARN est dans un liposome, pourquoi il n'y a presque aucun risque de rétrotranscription accidentelle et en quoi ils sont peu "graves"... Elle aurait pu expliquer le calcul d'estimation du pourcentage nécessaire pour un effet de groupe (pour le vaccin). Et pour les autres vaccins, il aurait fallut une autre vidéo...
Contribution le : 31/12/2020 17:47
|
|
Signaler |
||
| Swe_33 | 3 #2367 |
|
|---|---|---|
|
Je suis accro
![]()
Inscrit: 31/05/2009 02:27
Post(s): 629
Karma: 502 |
@AymericCaron
Aha c'est vrai, tant de losers qui n'ont pas de master de bio ! La base.
Contribution le : 31/12/2020 17:52
|
|
Signaler |
||
| Invité | 1 #2368 |
|
|---|---|---|
|
FantômeInvité
|
@Swe_33
Je me suis mal fait comprendre ! Autant pour moi. Cette invité a été avare d'informations pourtant pas compliquées. 2 articles et 3 vidéos beaucoup plus intéressants en 45 minutes : Covid-19 : comment certains malades deviennent des supercontaminateurs Coronavirus : le vaccin à ARN messager ne modifie pas votre ADN (FAQ) Ce que l’on sait de la sûreté des vaccins à ARN messager - Le Monde Les vaccins à ARN risquent-il de modifier le génome? - Heidi News Covid-19 : le vaccin ne va pas nous sauver tout de suite, voici pourquoi Edit : Bonus plus détaillé : Lvl 1. Comment fonctionne un vaccin à ARN ? - Futura Santé Lvl 2. L’aventure scientifique des vaccins à ARN messager - Marc Gozlan
Contribution le : 01/01/2021 12:18
|
|
Signaler |
||
| Remkage | 0 #2369 |
|
|---|---|---|
|
Je masterise !
![]()
Inscrit: 11/05/2008 01:31
Post(s): 4349
Karma: 5338 |
@AymericCaron
Si je ne dis pas de connerie, il y a peut-être un risque d'être vacciné dans certains cas pas pour le patient mais pour la variabilité génétique virale sur une grosse population vaccinée : Si la personne est infectée par un autre virus n'y a-t-il pas un risque de créer un nouveau variant viral? Ex: une personne infectée par le Vih possède des transcriptases inverses donc s'il y a co-infection dans une même cellule (je ne sais pas si le coronavirus cible les LT) l'enzyme peut bien fabriquer des la protéine Spyke du coronavirus à partir de l'ARNm du vaccin et l'exprimer à la surface de la cellule qui serait aussi capté par les nouvelles unités virales du VIH lors de l'exocytose membranaire. Un Vih avec du GP120 et de la protèine Spike est possible car le Vih est un virus à membrane? Ex2 : incorporer la protéine Spike à la surface de la capside de la grippe HN et amplifier l'adhésion cellulaire de la grippe surtout au niveau des alvéoles pulmonaires? On ne pourra peut-être pas vacciner les personnes séropositives ou même soumise à une infection grippale?
Contribution le : 01/01/2021 13:07
|
|
Signaler |
||
| Invité | 1 #2370 |
|
|---|---|---|
|
FantômeInvité
|
@Remkage
C'est hautement improbable vu les mécanismes de transcription, d'intégration et d'assemblage du VIH. - La rétrotranscriptase du VIH a besoin d'une amorce pour la synthèse du second brin d'ADN présent dans 2 séquences du brin d'ARN riche en purine, elle a besoin aussi de la présence de protéines de nucléocapside spécifique au VIH. (cf. Wikipédia) - L'intégrase du VIH est lié à l'ADN double brins synthétisé précédemment (gène POL), donc il est peu probable que l'intégrase intègre un ARNm du SARS-Cov2 rétrotranscrit en ADN à notre propre ADN. Et on ne rentre pas dans le noyau de la cellule comme dans un moulin. - Pour l'assemblage, il me paraîtrait étonnant que les nucléocapsides captent n'importe quel brin d'ARN messager passant par là. Concernant la protéine S produite grâce à l'ARNm du vaccin, je ne sais pas si elle transportée grâce à l'appareil de Golgi pour intégrer la membrane cellulaire comme pour la gp120/gp41... J'ai lu que la spicule était présenté par les CMH mais peut-elle suivre le même chemin que la gp160, aucune idée ! Mécanisme de réplication du VIH Après je n'ai qu'un faible niveau de connaissance en viro/immunologie donc je ne suis sûr de rien mais quand j'entends un professeur me dire qu'il est hautement improbable que l'ARNm du SARS-Cov2 intègre l'ADN, je veux bien le croire et quant à la formation d'un nouveau VIH intégrant ce brin d'ARNm j'aurais tendance à dire que c'est encore plus improbable. Pour la grippe, pareil je pense qu'il est hautement improbable que ça arrive :
Contribution le : 01/01/2021 16:32
|
|
Signaler |
||
| Remkage | 0 #2371 |
|
|---|---|---|
|
Je masterise !
![]()
Inscrit: 11/05/2008 01:31
Post(s): 4349
Karma: 5338 |
@AymericCaron
Ok pour le VIH car il y a la maturation, mais pour la grippe rien n'empêche les protèines spike de s'exprimer à la surface des nouvelles membranes virales, d'ailleurs j'avais lu dans une publie que la co-infection grippe+covid augmentait la virulence de la grippe, bon la grippe semble avoir disparue donc on est serein mais à surveiller.
Contribution le : 01/01/2021 19:52
|
|
Signaler |
||
| Invité | 0 #2372 |
|
|---|---|---|
|
FantômeInvité
|
@Remkage
Pour le VIH il n'y a pas que la maturation mais tout ce que j'ai cité aussi. Je ne sais pas si la virulence des virus influenza est augmentée mais il est probable qu'il existe des mécanismes qui favorisent le virus influenza comme avec le VIH et la tuberculose. Par exemple la mycobactérie engendre une surexpression d'un gène des macrophages qui entraine l'allongement des nanotubes favorisant l'infection d'un autre macrophage par le VIH, réciproquement le VIH entraine l'inhibition de certaines cytokines favorisant ainsi la mycobactérie. Un truc de fou Sinon, il a été rapidement décrit des co-infections covid19 et pyo ou H. influenzae ou M. pneumoniae (des germes très fréquents).
Contribution le : 01/01/2021 21:01
|
|
Signaler |
||
| Remkage | 0 #2373 |
|
|---|---|---|
|
Je masterise !
![]()
Inscrit: 11/05/2008 01:31
Post(s): 4349
Karma: 5338 |
@AymericCaron
Je parlais de la maturation de la capside pour arriver au virion pas de la maturation protéique (Cf le terme employé sur le 1er schéma).
Contribution le : 01/01/2021 23:11
|
|
Signaler |
||
| Zertyy | 5 #2374 |
|
|---|---|---|
|
Serial Locker
![]()
Inscrit: 22/01/2007 23:42
Post(s): 19117
Karma: 5758 |
![]()
Contribution le : 05/01/2021 09:39
|
|
|
_________________
|
||
Signaler |
||
| Invité | 0 #2375 |
|
|---|---|---|
|
FantômeInvité
|
Silvano Trotta sur la 5 !
Contribution le : 05/01/2021 10:48
|
|
Signaler |
||
| Ubbos | 0 #2376 |
|
|---|---|---|
|
Je suis accro
![]()
Inscrit: 11/12/2015 23:22
Post(s): 1513
Karma: 1056 |
Je suis juste en train de lire un article sur guardian, avec la réponse d'un officier animée par du sens pratique.
La question en ce moment est de verbaliser ou non les personnes qui se déplacent à plus de 5 miles de leur domicile ou qui quittent leur zone, pour aller prendre l'air. Récemment, 2 bonnes femmes s'étaient faites verbalisées après s'être retrouvées pour faire une ballade loin de tout, ça a fait un tollé, les amendes ont été retirées. Du coup, les flics disent qu'ils ne vont pas verbaliser à outrance ces comportements, en tout cas pas tant qu'ils n'ont pas de directives claires (et pis faut dire que BoJo a été vu à 7 miles de chez lui sur un vélo, du coup c'est délicat de demander aux gens de coller à ces règles "simples" quand lui même ne semble pas les respecter). Et je découvre du coup le nombre de prunes qui ont été faites aux UK vs France, ça pique : - 30 000 aux UK vs 1 million en France. Bon je détaille pas tout, le reste dans cet article https://www.theguardian.com/world/2021/jan/11/police-in-england-say-they-wont-enforce-masks-in-supermarkets C'était simplement pour comparaison.
Contribution le : 12/01/2021 09:05
|
|
Signaler |
||
| Invité | 0 #2377 |
|
|---|---|---|
|
FantômeInvité
|
Trois membres d'une famille résidant en Angleterre, venue à Cholet pour les fêtes, ont été testés positifs au variant du covid 19.
Difficilement compréhensible ! On laisse ouvert les frontières sans suivi...
Contribution le : 12/01/2021 11:09
|
|
Signaler |
||
| Wiliwilliam | 0 #2378 |
|
|---|---|---|
|
La loi c'est moi
![]()
Inscrit: 07/04/2012 19:19
Post(s): 40076
Karma: 20514 |
@Ubbos Je ne connais personne dans mon entourage qui s'est pris une prune :'D
C'est si difficile de cocher des cases ou de limiter ses sorties et contacts?
Contribution le : 12/01/2021 11:48
|
|
Signaler |
||
| MusicMan | 2 #2379 |
|
|---|---|---|
|
Je masterise !
![]()
Inscrit: 21/01/2013 02:49
Post(s): 2827
Karma: 1690 |
@Wiliwilliam
Citation : C'est si difficile Heu... bah oui en fait. De grâce, qu'on en finisse avec les jugements du style "olalala c'est pas si terrible" et qu'on considère que chacun à des besoins sociaux différents. Oui y'a des gens qui tombe en dépression sévère avec l'isolement, et oui il y a aussi des gens qui sont très heureux d'être enfin tranquille en télétravail. Mais il faut accepter que les gens aient des besoins en rapport sociaux différents. Ce n'est pas parce que toi tu ne trouves pas ça si grave que ça ne l'est pas pour d'autres, pour qui la socialisation est une part très importante de leur personnalité. Bref, un peu d'empathie ![]()
Contribution le : 12/01/2021 12:29
|
|
Signaler |
||
| Wiliwilliam | 0 #2380 |
|
|---|---|---|
|
La loi c'est moi
![]()
Inscrit: 07/04/2012 19:19
Post(s): 40076
Karma: 20514 |
Oui, tu as raison d'une certaine manière
![]() Mais alors pourquoi s'étonner du nombre de prunes?
Contribution le : 12/01/2021 12:37
|
|
Signaler |
||


Signaler






